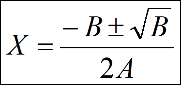
1、在日常办公中,教师经常使用WPS office制作课件或试卷。有时有必要在文档、表格和演示幻灯片中插入数学公式。例如,这个公式

2、那么如何在文档中插入公式呢?

3、首先,点击上方菜单栏-插入-公式,然后弹出“公式编辑器”。我们在公式编辑器中编辑公式。例如输入:x=-B±√B/2A

1、在日常办公中,教师经常使用WPS office制作课件或试卷。有时有必要在文档、表格和演示幻灯片中插入数学公式。例如,这个公式

2、那么如何在文档中插入公式呢?

3、首先,点击上方菜单栏-插入-公式,然后弹出“公式编辑器”。我们在公式编辑器中编辑公式。例如输入:x=-B±√B/2A
